Acetyl-Coenzym A
Acetyl-Coenzym A (Acetyl-CoA) ist ein wichtiger C-2 Baustein im Primärstoffwechsel und Sekundärstoffwechsel. Acetyl-CoA setzt sich aus einer Acetyl Gruppe und dem Coenzyms A zusammen und ist über eine Thioesterbindung verknüpft. Acetyl-CoA wird im primären Stoffwechsel gebildet. Innerhalb des primären Stoffwechsels ist Acetyl-CoA ein wichtiger Metabolit, der die Glycolyse mit dem Citratsäurezyklus verbindet.
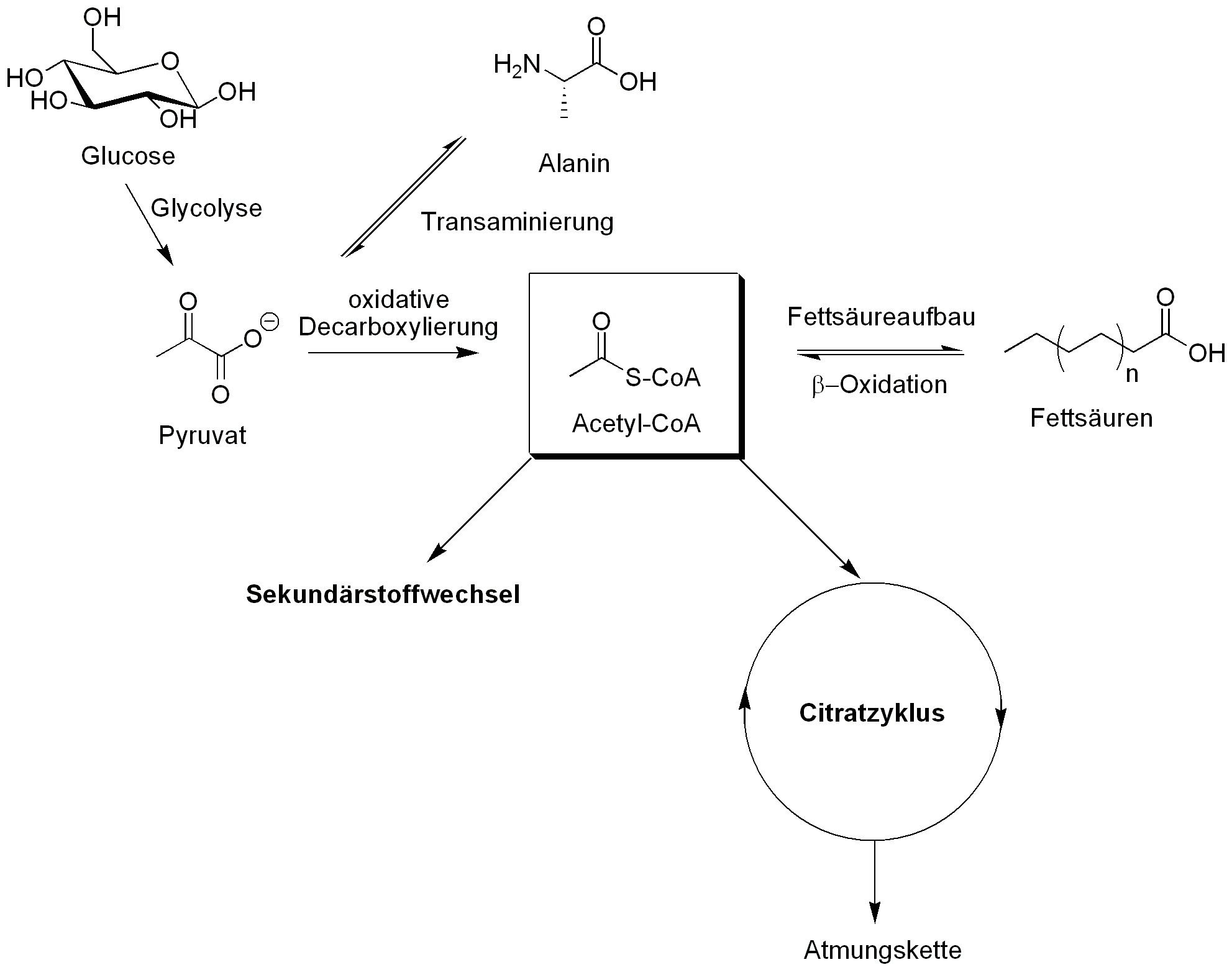
Bildung
Neben der Bildung aus Pyruvat wird Acetyl-CoA auch beim Fettsäureabbau wird gewonnen. Daneben kann Acetyl-CoA beim Abbau von Aminosäuren entstehen, wie zum Beispiel durch die Transaminierung von Alanin zu Pyruvat mit anschließender oxidativer Decarboxylierung.
Acetyl-CoA nimmt nach seiner Bildung an zentraler Stelle im Metabolismus von Organismen teil. So wird Acetyl-CoA in den Citratzyklus eingespeist, welcher die Grundlage der Atmungskette bildet. Die Atmungskette ist zur Aufrechterhaltung des Energiestoffwechsels zentraler Bestandteil des primären Stoffwechsels. Daneben wird Acetyl-CoA zum Aufbau von Fettsäuren benötigt, bei dem es das Startermolekül bei der Fettsäuresynthese bildet.
Daneben wird Acetyl-CoA als C-2 Baustein im sekundären Stoffwechsel eingesetzt. So ist es zum Beispiel am Aufbau von Malonyl-Coenzym A beteiligt, welches zur Polyketidsynthese verwendet wird.
Funktion
Acetyl-CoA kann sowohl elektrophil als auch nukleophil wirken.Die Thioesterbindung kann von Substraten nukleophil angegriffen werden. Dadurch wird Coenzym A wieder freigesetzt und kann erneut eine Acetylgruppe aufnehmen. Weiter kann Acetyl-CoA durch eine Enolatbildung als Nukleophil reagieren.
Beispiele
Geeignete Nukleophile sind, wie auch bei der Methylierungsreagenz S-Adenosylmethionin, Sauerstoff- und Stickstoff-Atome. Bei der Biosynthese von Morphin wird so zum Beispiel eine Hydroxygruppe des Salutaridinol acetyliert. Bei diesem Vorgang greift das Sauerstoffatom nukleophil Acetyl-CoA an. Unter Katalyse von Salutaridinol-O-Acetyltransferase wird die C-2 Gruppe übertragen und es wird das Coenzym A frei. Das entstehende Salutaridinol-7-O-Acetat spaltet die Acetatgruppe ab. Dies geschieht in einer Eliminierungsreaktion unter spontaner Cyclisierung. Thebain, welches als solches in Opium vorkommt, wird dann in wenigen Schritten zu Morphin metabolisiert.
Ein Beispiel für eine C-C Bindungsknüpfung ist die Bildung von Digitoxigenin, einem Aglycon von herzwirksamen Glycosiden aus der Fingerhutpflanze. 14-Hydroxyprogesteron wird von Acetyl-CoA nukleophil an seiner Ketogruppe angegriffen. Nach Kondensation und Oxidation des C-21 Atoms kommt es zur Cyclisierung. Nach weiterer Derivatisierung wird schließlich Digitoxigenin gewonnen.1)




