Saponine
Als Saponine werden Glycoside von Steroiden, Steroidalkaloiden und Triterpenen verstanden. In Populärliteratur werden Saponine auch als Seifenstoffe bezeichnet. Dies rührt von der Eigenschaft der Saponine her, die in Wasser einen Schaum bilden und ölige Emulsionen stabilisieren. Sie sind ebenfalls in der Lage Blutkörperchen aufzulösen (hämolytische Aktivität). Zu den Saponinen zählen auch die herzwirksamen Glycoside und die Ginsenoside.
Im Gegensatz zu vielen anderen Naturstoffen sind Saponine zum Teil hoch konzentriert in Pflanzenbestandteilen enthalten und erreichen Anteile von bis zu 30%. Auch sind sie in ~75% der Pflanzen anzutreffen.
Chemische Eigenschaften
Die Steroidsaponine sind sehr gut löslich in alkoholischen Wasserlösungen, jedoch schwach löslich in organischen Lösungsmittel wie Ether oder Chloroform. Die Glycosilierung erfolgt meist durch bekannte Zucker wie Glucose, Galactose, Xylose und weitere Zucker. Die Saponine sind dabei mit 1 - 12 Zuckern glycosliert.
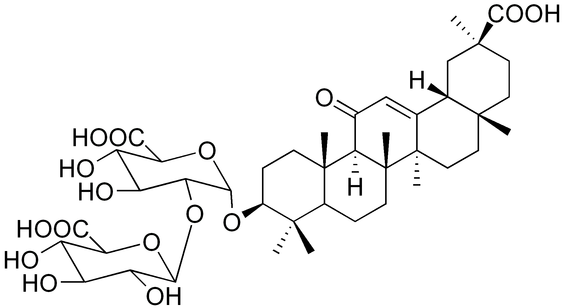
Beispiel Glycyrrhizin
Glycyrrhizin ist ein glycolisiertes Triterpen und trägt damit ein 30C Grundgerüst. Als Saponin kommt es in der Wurzel der Süßholzwurzel, als auch in der Grapefruit wie auch in weiteren Pflanzen vor. Zur Lakritzherstellung werden die Inhaltsstoffe der Süßholzwurzel extrahiert und eingedickt. Zugabe von Sirup, Gelantine und Mehl überführen das Extrakt in Pastillen, Gummisüßwaren und weiteren Süßigkeiten.
Eigenschaften
Glycyrrhizin die glycosilierte Form des Aglycons Glycyrrhizinsäure. Gebunden ist es an zwei Molekülen D-Gluconsäure. Ein Zucker ist dabei alpha glycosidisch, der andere beta glycosidisch gebunden. Im Gegensatz zu anderen Saponinen ist Glycyrrhizin nur schwach hämolytisch aktiv. Als Glycosid ist es ähnlich wie die Steviolglycoside ein Süßstoff, der der Lakritze ihren eigentümlichen Geschmack verleiht. Die Süßkraft ist dabei 50fach höher als die Süßkraft von Rohrzucker. Das Aglycon selbst trägt keine Süßkraft.
Wirkung
Die Süßholzwurzeldroge wird besonders als schleimlösende Droge, bei Husten und Erkrankungen der Bronchialwege, eingesetzt. Zudem wirkt sie entzündungshemmend und krampflösend bei Gastritis und Magengeschwüren. Dabei wird eine Tagesdosis von 200 bis 600 mg Glycyrrhizin empfohlen (das entspricht ca. 5 - 15 g der Droge).
Neben der süßenden und schleimlösenden Wirkung werden weitere Wirkungen auf den Menschen diskutiert. Bekannt ist die mineralocortidoide Wirkung, die bei einer zu hohen Dosierung von der Süßholzwurzeldroge auftritt. Nach der Spaltung des Glycosids wird das Aglycon Glycyrrhethinsäure durch Bakterien im Darm freigesetzt. Dieses inhibiert ein Enzym, welches zur Deaktivierung von Cortisol benötigt wird. Die ansteigende Cortisolkonzentration führt zu einer Störung des von Aldosteron regulierten Mineral- und Wasserhaushalt des Körpers. Physiologisch treten dabei Bluthochdruck und Wassereinlagerungen auf, im schlimmsten Fall kommt es zu Nierenversagen.
Aktuelle Forschung untersucht die antivirale Wirkung der Süßholzwurzel. Neben der Wirkung auf Hepatitis C, die inzwischen besser untersucht ist, ist auch eine Wirkung auf HI und SARS Viren zu sehen. Inwieweit dies jedoch zu einer positiven Beeinflussung im Körper beiträgt, ist noch nicht weitergehend erforscht.
Glycyrrhiza glabra
Süßholz oder Lakritze (Glycyrrhiza glabra L.) ist beheimatet in Westasien und am Mittelmeer. Die frostempfindliche Pflanze benötigt Sonnenlicht und ist mehrjährig. Als Droge (Liquiritiae radix) werden die geschälten oder ungeschälten Wurzeln der Pflanze, die im Herbst geernet werden, verwendet. Neben Glycyrrhizin enthält die Süßwurzel weitere Triterpensaponine. Das Glycyrrhizin trägt eine Säuregruppe, die zumeist als Kalium oder Calciumsalz vorliegt. Neben den Saponinen finden sich auch Flavonoide und Glycoside.
