Nicotin
Nicotin ist ein Puridinalkaloid, welches aus Nachtschattengewächse und vorallem aus Tabakpflanzen isoliert werden kann. Gleichzeitig gehört Nicotin den Nicotinalkaloiden, also den Alkaloiden der Tabakpflanze an.
Eigenschaften
Nicotin besitzt ein Stereozentrum und kommt natürlich als (S)-(-)-Nicotin vor. Es ist gut wasserlöslich und löst sich daneben auch gut in gängigen organischen Lösungsmittel. Das farblose Öl ist eine Base.
Biosynthese
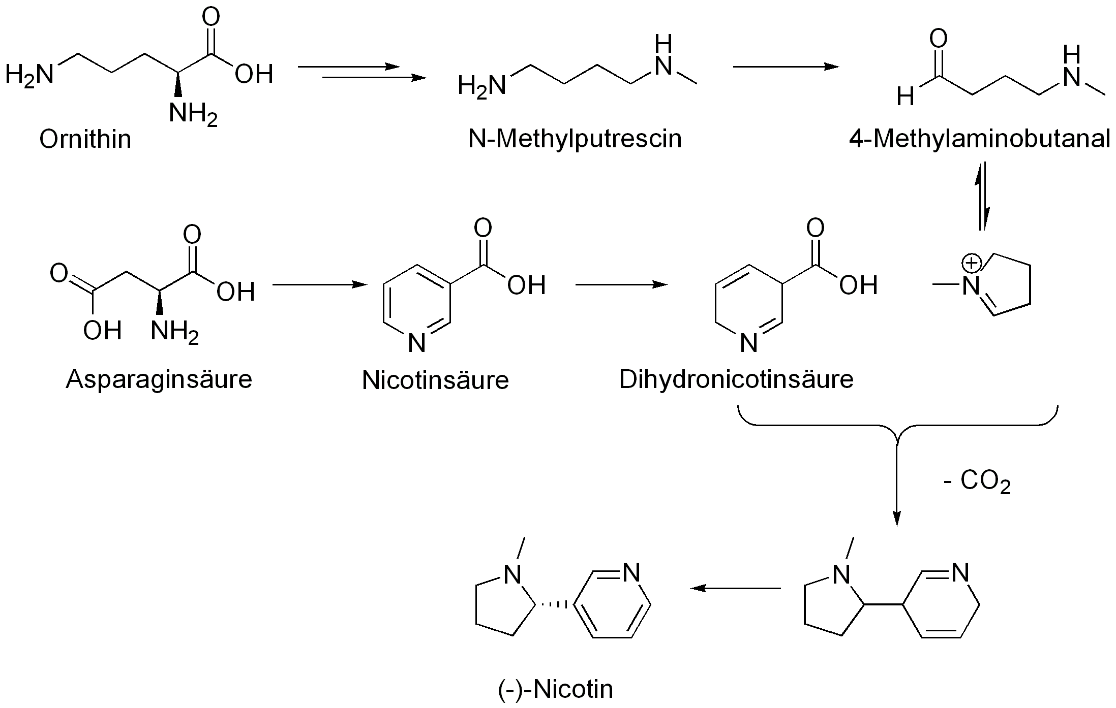
Nicotin wird in höheren Pflanzen aus den Aminosäuren Asparaginsäure und der nicht proteinogenen Aminosäure Ornithin synthetisiert. Asparaginsäure wird mit Glycerinaldehydphosphat über die Chinolinsäure zu Nicotinsäure umgebaut. Diese wird zur Dihydronicotinsäure reduziert. Ornithin wird zuerst decarboxyliert und methyliert. Nach Oxidation zum Aldehyd cyclisiert es zu einem Kation, welches mit der Dihydronicotinsäure unter Decarboxylierung reagiert. Nach Rearomatisierung entsteht das gewünschte (-) Nicotin.
Nicotiana tabacum
Nicotiana Rustica aus Köhlers Medizinal Pflanzen
Der viriginische Tabak (Nicotiana tabacum L.) ist eine einjährige Pflanze, die mehrere Meter hoch werden kann. Sie wird komerziell zur Gewinnung von Tabakprodukten verwendet. Ihre Blätter werden bis zu 50 cm lang. Der virginische Tabak ist in Südamerika beheimatet und wird heute in vielen Regionen der Welt mit gemäßigten Klima angebaut.
Nach der Blatternte des Nachtschattengewächses müssen die Blätter für den Gebrauch als Tabak weiter bearbeitet werden. Je nach Gebrauch und Pflanze werden dabei verschiedene Fermentationsverfahren durchgeführt. Ziel bei allen diesen Verfahren, die zur Gärung führen, ist die Veredelung des Produktes. Nach der Trocknung und Fermentation werden die Tabakblätter zu Zigarren, Zigaretten, Drehtabak, Schnupftabak, Pfeifentabak, Kautabak und weiteren weniger bedeutenden Tabakformen verarbeitet.
Wirkung
Bei der Analyse der Wirkung von Nicotin ist zu unterscheiden zwischen der Wirkung des Nicotins und der Wirkung des Tabakrauchens, die bekannter Maßen meist negativ sind. Unter anderem führt das Rauchen von Tabak zu:
- Krebserkrankungen
- chronische Bronchitis
- Arterisklerose in den Beinen
- Erkrankung der Herzkranzgefäße
- Erhöhung des Schlaganfallrisikos
- Hautalterung
- etc. pp. (nachzulesen in einschlägiger, bekannter Literatur)
Nach Schätzungen sterben weltweit jährlich 5 Millionen Menschen an den Folgen von Tabakkonsum.
Nicotin selbst ist ein Nervengift. Es fördert die Ausschüttung von Adrenalin und schlußendlich zu Serotonin und Dopamin, also wichtigen Neurotransmitter im Körper. Das führt zu einem stimulierenden Effekt. Neben einer Blutdrucksteigerung kann es zur Steigerung psychomotorischen Leistung beitragen und so zum Beispiel die Konzentrationsfähigkeit erhöhen. Eine hohe Dosis Nicotin ist toxisch für den Menschen. Das Abhängigkeitspotential von Nicotin ist hoch. Bei körperlich abhängigen Menschen kommt es zu Entzugserscheinungen, wie Konzentrationsschwierigkeiten und Nervösität. Der körperliche Entzug ist meist nach 3 Wochen überstanden, der psychologische Entzug meist nie.

